题目内容
已知函数f(x)=ln(x-1)-k(x-1)+1(k ∈R),
(1)若k=2,求以M(2,f(2))为切点的曲线的切线方程;
(2)若函数f(x)≤0恒成立,确定实数k的取值范围。
(1)若k=2,求以M(2,f(2))为切点的曲线的切线方程;
(2)若函数f(x)≤0恒成立,确定实数k的取值范围。
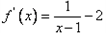
解:(1)k=2,
,
,
当x=2时,f′(2)=-1,
切线方程为x+y=1;
(2)
,得
,
当k≤0时,f′(x)>0,函数f(x)在定义域内单调递增,f(x)≤0不恒成立;
当k>0时,函数f(x)在
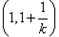
单调递增,在
单调递减,
当
时,f(x)取最大值,
;
∴k≥1。
当x=2时,f′(2)=-1,
切线方程为x+y=1;
(2)
当k≤0时,f′(x)>0,函数f(x)在定义域内单调递增,f(x)≤0不恒成立;
当k>0时,函数f(x)在
当
∴k≥1。
练习册系列答案
相关题目