题目内容

中,分别是三内角的对边,已知

(Ⅰ)求角的大小;

(Ⅱ)若,判断的形状.

 

【答案】

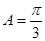
(Ⅰ);(Ⅱ)等边三角形;

【解析】

试题分析:(Ⅰ)主要利用三角形中余弦定理来求;(Ⅱ)通过三角形中内角和定理、三角恒等变换可求;

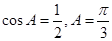
试题解析:(Ⅰ)

,∴.

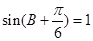
(Ⅱ)∵,∴ 

,∴

,∴ ,

为等边三角形.

考点:解三角形中内角和定理以及余弦定理的使用、三角恒等变换等知识点,考查学生的计算能力.

 

练习册系列答案
相关题目

违法和不良信息举报电话:027-86699610 举报邮箱:58377363@163.com

精英家教网