题目内容
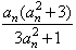
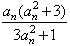
已知数列{an}满足an+1=
,
(Ⅰ)若方程f(x)=x的解称为函数y=f(x)的不动点,求an+1=f(an)的不动点的值;
(Ⅱ)若a1=2,bn=
,求证:数列{lnbn}是等比数列,并求数列{bn}的通项;
(Ⅲ)当任意n∈N*时,求证:b1+b2+b3+…+bn<
。
(Ⅰ)若方程f(x)=x的解称为函数y=f(x)的不动点,求an+1=f(an)的不动点的值;
(Ⅱ)若a1=2,bn=
(Ⅲ)当任意n∈N*时,求证:b1+b2+b3+…+bn<
解:(Ⅰ)由方程an+1=f(an)得an=
,
解得an=0,或an=-1,或an=1;
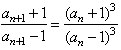
(Ⅱ)∵an+1+1=
+1=
,
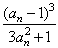
an+1-1=
-1=
,
∴两式相除得
,即bn+1=bn3,
由a1=2可以得到bn>0,
则lnbn+1=3lnbn,
又b1=
,
得lnb1=-ln3,
∴数列{lnbn}是以-ln3为首项,3为公比的等比数列,
∴lnbn=(-ln3)·3n-1=
,
从而bn=
(n∈N*)。
(Ⅲ)证明:任意n∈N*,3n-1≥n,
∴bn=
≤
,
从而b1+b2+b3+…+bn<
+(
)2+(
)3+…+(
)n
=
。
解得an=0,或an=-1,或an=1;
(Ⅱ)∵an+1+1=
an+1-1=
∴两式相除得
由a1=2可以得到bn>0,
则lnbn+1=3lnbn,
又b1=
得lnb1=-ln3,
∴数列{lnbn}是以-ln3为首项,3为公比的等比数列,
∴lnbn=(-ln3)·3n-1=
从而bn=
(Ⅲ)证明:任意n∈N*,3n-1≥n,
∴bn=
从而b1+b2+b3+…+bn<
=
练习册系列答案
相关题目