题目内容
已知函数f(x)=x3-
x2+bx+c,
(Ⅰ)若f(x)的图象有与x轴平行的切线,求b的取值范围;
(Ⅱ)若f(x)在x=1时取得极值,且x∈[-1,2]时,f(x)<c2恒成立,求c的取值范围。
(Ⅰ)若f(x)的图象有与x轴平行的切线,求b的取值范围;
(Ⅱ)若f(x)在x=1时取得极值,且x∈[-1,2]时,f(x)<c2恒成立,求c的取值范围。
解:(Ⅰ)f′(x)=3x2-x+b,
f(x)的图象上有与x轴平行的切线,则f′(x)=0有实数解,即方程3x2-x+b=0有实数解,
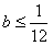
由Δ=1-12b≥0,得
;
(Ⅱ)由题意,x=1是方程3x2-x+b=0的一个根,
设另一根为x0,则
,
∴
,
∴
,f′(x)=3x2-x-2,
当
时,f′(x)>0;当
时,f′(x)<0;当x∈(1,2)时,f′(x)>0,
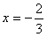
∴当
时,f(x)有极大值
,
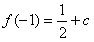
又
,f(2)=2+c,即当x∈[-1,2]时,f(x)的最大值为f(2)=2+c,
∵对x∈[-1,2]时,f(x)<c2恒成立,
∴c2>2+c,解得c<-1或c>2,
故c的取值范围为(-∞,-1)∪(2,+∞)。
f(x)的图象上有与x轴平行的切线,则f′(x)=0有实数解,即方程3x2-x+b=0有实数解,
由Δ=1-12b≥0,得
(Ⅱ)由题意,x=1是方程3x2-x+b=0的一个根,
设另一根为x0,则
∴
∴
当
∴当
又
∵对x∈[-1,2]时,f(x)<c2恒成立,
∴c2>2+c,解得c<-1或c>2,
故c的取值范围为(-∞,-1)∪(2,+∞)。
练习册系列答案
相关题目