题目内容
已知正方形ABCD的边长为2,AC∩BD=O.将正方形ABCD沿对角线BD折起,使AC=a,得到三棱锥A-BCD,如图所示.(1)当a=2时,求证:AO⊥平面BCD;
(2)当二面角A-BD-C的大小为120°时,求二面角A-BC-D的正切值.
【答案】分析:(1)先根据AC=a=2得到AC2=AO2+CO2,进而得AO⊥CO,再结合AC,BD是正方形ABCD的对角线对应的AO⊥BD进而证明结论;
(2)先建立空间直角坐标系,结合二面角A-BD-C的大小为120°时对应的结论,进而求出两个半平面的法向量,即可求出结论.
解答:
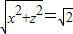
解:(1)证明:根据题意,在△AOC中,AC=a=2,
,
所以AC2=AO2+CO2,所以AO⊥CO.…(2分)
因为AC,BD是正方形ABCD的对角线,
所以AO⊥BD.…(3分)
因为BD∩CO=O,
所以AO⊥平面BCD;.…(4分)
(2):由(1)知,CO⊥OD,如图,以O为原点,OC,OD所在的直线分别为x轴,y轴建立如图的空间直角坐标系O-xyz,…(5分)
则有O(0,0,0),
,
,
.
设A(x,0,z)(x<0),则
,
.…(6分)
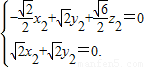
又设面ABD的法向量为n=(x1,y1,z1),
则
即
所以y1=0,令x1=z,则z1=-x.
所以n=(z,0,-x).…(8分)
因为平面BCD的一个法向量为m=(0,0,1),
且二面角A-BD-C的大小为120°,…(9分)
所以
,得
.
因为
,所以
.
解得
.所以
.…(10分)
设平面ABC的法向量为l=(x2,y2,z2),因为
,
则
,即
令x2=1,则
.
所以
.…(12分)
设二面角A-BC-D的平面角为θ,
所以
.…(13分)
所以
.
所以二面角A-BC-D的正切值为
.…(14分)
点评:本题主要考察用空间向量求平面间的夹角.解决这类问题的关键在于求出两个半平面的法向量.
(2)先建立空间直角坐标系,结合二面角A-BD-C的大小为120°时对应的结论,进而求出两个半平面的法向量,即可求出结论.
解答:
所以AC2=AO2+CO2,所以AO⊥CO.…(2分)
因为AC,BD是正方形ABCD的对角线,
所以AO⊥BD.…(3分)
因为BD∩CO=O,
所以AO⊥平面BCD;.…(4分)
(2):由(1)知,CO⊥OD,如图,以O为原点,OC,OD所在的直线分别为x轴,y轴建立如图的空间直角坐标系O-xyz,…(5分)
则有O(0,0,0),
设A(x,0,z)(x<0),则
又设面ABD的法向量为n=(x1,y1,z1),
则
所以y1=0,令x1=z,则z1=-x.
所以n=(z,0,-x).…(8分)
因为平面BCD的一个法向量为m=(0,0,1),
且二面角A-BD-C的大小为120°,…(9分)
所以
因为
解得
设平面ABC的法向量为l=(x2,y2,z2),因为
则
所以
设二面角A-BC-D的平面角为θ,
所以
所以
所以二面角A-BC-D的正切值为
点评:本题主要考察用空间向量求平面间的夹角.解决这类问题的关键在于求出两个半平面的法向量.
练习册系列答案
相关题目
已知正方形ABCD的边长为1,设
=
,
=
,
=
,则|
-
+
|等于( )
| AB |
| a |
| BC |
| b |
| AC |
| c |
| a |
| b |
| c |
| A、0 | ||
B、
| ||
| C、2 | ||
D、2
|