题目内容
已知函数f(x)=log2(1)判断f(x)在区间(1,+∞)上的单调性,并用定义证明你的结论;
(2)记函数h(x)=g(2x+2)+kx,问:是否存在实数k使得函数h(x)为偶函数?若存在,请求出k的值;若不存在,请说明理由;
(3)记函数F(x)=f(x)+g(x)+log2(p-x),其中p>1试求F(x)的值域.
【答案】分析:(1)f(x)在区间(1,+∞)上的单调递减.利用单调性的定义,关键是作差变形;
(2)假设存在这样的k使得函数h(x)为偶函数,则h(x)-h(-x)=0恒成立,化简可得结论;
(3)先确定函数的定义域,再利用对数的运算性质,化简函数,分类讨论,确定内函数的值域,即可求得函数的值域.
解答:解:(1)f(x)在区间(1,+∞)上的单调递减.证明如下:
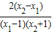
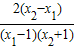
任取1<x1<x2,则f(x1)-f(x2)=log2
∵
-1=
∵1<x1<x2,∴
>0
∴
∴f(x1)-f(x2)>0
∴f(x)在区间(1,+∞)上的单调递减;
(2)h(x)=g(2x+2)+kx=log2(2x+1)+kx,定义域为R
假设存在这样的k使得函数h(x)为偶函数,则h(x)-h(-x)=0恒成立
即log2(2x+1)+kx-log2(2-x+1)+kx=0,化简得(1+2k)x=0
∴k=-
使得函数h(x)为偶函数.
(3)首先函数F(x)的定义域是(1,p)
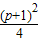
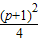
F(x)=log2(x+1)(p-x)=log2[-x2+(p-1)x+p]=log2[-(x-
)2+
],显然
<
①当
≤1,即1<p≤3时,t=-(x-
)2+
在(1,p)上单调减,g(p)<t<g(1),即0<t<2p-2,
∴f(x)<1+log2(p-1),函数f(x)的值域为(-∞,log2(p-1));
②当1<
<
,即p>3时,t=-(x-
)2+
在(1,
)上单调递增,在(
,p)上单调递减,即0<t≤
,
∴f(x)≤2log2(p+1)-2,函数f(x)的值域为(-∞,2log2(p+1)-2).
综上:当1<p≤3时,函数f(x)的值域为(-∞,log2(p-1));当p>3时,函数f(x)的值域为(-∞,2log2(p+1)-2).
点评:本题考查函数的单调性,考查函数的值域,考查分类讨论的数学思想,解题的关键是确定函数的定义域,化简函数.
(2)假设存在这样的k使得函数h(x)为偶函数,则h(x)-h(-x)=0恒成立,化简可得结论;
(3)先确定函数的定义域,再利用对数的运算性质,化简函数,分类讨论,确定内函数的值域,即可求得函数的值域.
解答:解:(1)f(x)在区间(1,+∞)上的单调递减.证明如下:
任取1<x1<x2,则f(x1)-f(x2)=log2
∵
∵1<x1<x2,∴
∴
∴f(x1)-f(x2)>0
∴f(x)在区间(1,+∞)上的单调递减;
(2)h(x)=g(2x+2)+kx=log2(2x+1)+kx,定义域为R
假设存在这样的k使得函数h(x)为偶函数,则h(x)-h(-x)=0恒成立
即log2(2x+1)+kx-log2(2-x+1)+kx=0,化简得(1+2k)x=0
∴k=-
(3)首先函数F(x)的定义域是(1,p)
F(x)=log2(x+1)(p-x)=log2[-x2+(p-1)x+p]=log2[-(x-
①当
∴f(x)<1+log2(p-1),函数f(x)的值域为(-∞,log2(p-1));
②当1<
∴f(x)≤2log2(p+1)-2,函数f(x)的值域为(-∞,2log2(p+1)-2).
综上:当1<p≤3时,函数f(x)的值域为(-∞,log2(p-1));当p>3时,函数f(x)的值域为(-∞,2log2(p+1)-2).
点评:本题考查函数的单调性,考查函数的值域,考查分类讨论的数学思想,解题的关键是确定函数的定义域,化简函数.
练习册系列答案
相关题目