题目内容
已知函数f(x)=log3(ax+b)的图象经过点A(2,1)和B(5,2),记an=3f(n),n∈N*。
(1)求数列{an}的通项公式;
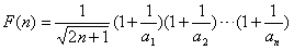
(2)设
,若Tn<m(m∈Z),求m的最小值;
(3)求使不等式
对一切n∈N*均成立的最大实数p。
(1)求数列{an}的通项公式;
(2)设
(3)求使不等式
解:(1)由题意,得
,解得:
,
∴
,
。
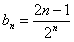
(2)由(1)得
,
∴
, ①
, ②
①-②得,


,
∴
,
设
,
则由
,
得
随n的增大而减小,
随n的增大而增大,
∴当n→+∞时,
,
又
恒成立,
∴mmin=3。
(3)由题意得
对n∈N*恒成立,
记
,
则
,
∵F(n)>0,
∴F(n+1)>F(n),即F(n)是随n的增大而增大,
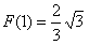
∴F(n)的最小值为
,
∴
,即
。
∴
(2)由(1)得
∴
①-②得,
∴
设
则由
得
∴当n→+∞时,
又
∴mmin=3。
(3)由题意得
记
则
∵F(n)>0,
∴F(n+1)>F(n),即F(n)是随n的增大而增大,
∴F(n)的最小值为
∴
练习册系列答案
相关题目