题目内容
已知曲线C:x2+y2-2x-4y+m=0.(1)当m为何值时,曲线C表示圆;
(2)若曲线C与直线x+2y-4=0交于M、N两点,且OM⊥ON(O为坐标原点),求m的值.
【答案】分析:(1)由二元二次方程表示圆的条件D2+E2-4F大于0列出关于m的不等式,求出不等式的解集即可得到m的取值范围;
(2)设出曲线与直线的交点M和N的坐标,联立曲线C与直线的方程,消去y后得到关于x的一元二次方程,利用韦达定理表示出两根之和与两根之积,然后由OM与ON垂直得到直线OM与ON斜率的乘积为-1,即M和N横坐标之积与纵坐标之积的和为0,由直线方程化为横坐标的关系式,把表示出的两根之和与两根之积代入即可求出m的值.
解答:解:(1)由D2+E2-4F=4+16-4m=20-4m>0,解得m<5; (4分)
(2)设M(x1,y1),N(x2,y2),
联立直线x+2y-4=0与圆的方程x2+y2-2x-4y+m=0,
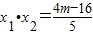
消去y,得:5x2-8x+4m-16=0,
由韦达定理得:
①,
②,
又由x+2y-4=0得
,
由OM⊥ON得x1x2+y1y2=0,
∴
,
将①、②代入上式得
,
检验知满足△>0,故
为所求. (13分)
点评:此题考查了直线与圆相交的性质,以及二元二次方程表示圆的条件,在解答直线与圆相交的问题时,常常设出交点坐标,联立直线与圆的方程,消去一个未知数后得到关于另外一个未知数的方程,利用韦达定理来解决问题.
(2)设出曲线与直线的交点M和N的坐标,联立曲线C与直线的方程,消去y后得到关于x的一元二次方程,利用韦达定理表示出两根之和与两根之积,然后由OM与ON垂直得到直线OM与ON斜率的乘积为-1,即M和N横坐标之积与纵坐标之积的和为0,由直线方程化为横坐标的关系式,把表示出的两根之和与两根之积代入即可求出m的值.
解答:解:(1)由D2+E2-4F=4+16-4m=20-4m>0,解得m<5; (4分)
(2)设M(x1,y1),N(x2,y2),
联立直线x+2y-4=0与圆的方程x2+y2-2x-4y+m=0,
消去y,得:5x2-8x+4m-16=0,
由韦达定理得:
又由x+2y-4=0得
由OM⊥ON得x1x2+y1y2=0,
∴
将①、②代入上式得
检验知满足△>0,故
点评:此题考查了直线与圆相交的性质,以及二元二次方程表示圆的条件,在解答直线与圆相交的问题时,常常设出交点坐标,联立直线与圆的方程,消去一个未知数后得到关于另外一个未知数的方程,利用韦达定理来解决问题.
练习册系列答案
相关题目