题目内容
已知双曲线中心在原点且一个焦点为F(A.
B.
C.
D.
【答案】分析:先设出双曲线的方程,然后与直线方程联立方程组,经消元得二元一次方程,再根据韦达定理及MN中点的横坐标可得a、b的一个方程,又双曲线中有c2=a2+b2,则另得a、b的一个方程,最后解a、b的方程组即得双曲线方程.
解答:解:设双曲线方程为
-
=1.
将y=x-1代入
-
=1,整理得(b2-a2)x2+2a2x-a2-a2b2=0.
由韦达定理得x1+x2=
,则
=
=-
.
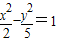
又c2=a2+b2=7,解得a2=2,b2=5,
所以双曲线的方程是
.
故选D.
点评:本题主要考查代数方法解决几何问题,同时考查双曲线的标准方程与性质等.
解答:解:设双曲线方程为
将y=x-1代入
由韦达定理得x1+x2=
又c2=a2+b2=7,解得a2=2,b2=5,
所以双曲线的方程是
故选D.
点评:本题主要考查代数方法解决几何问题,同时考查双曲线的标准方程与性质等.
练习册系列答案
相关题目
已知双曲线中心在原点且一个焦点为F(
,0),直线y=x-1与其相交于M、N两点,MN中点的横坐标为-
,则此双曲线的方程是( )
| 7 |
| 2 |
| 3 |
A、
| ||||
B、
| ||||
C、
| ||||
D、
|
已知双曲线中心在原点且一个焦点为F1(-
, 0),点P位于该双曲线上,线段PF1的中点坐标为(0,2),则双曲线的方程为( )
| 5 |
A、
| ||||
B、x2-
| ||||
C、
| ||||
D、
|