题目内容
已知各项均为正数的数列{an} 满足(1)求数列{an} 的通项公式;
(2)令
【答案】分析:(1)将an+12=2an2+anan+1,化简为(an+1+an)(2an-an+1)=0,又an>0,得出2an=an+1,数列{an}是公比为2的等比数列,故可求数列{an} 的通项公式;
(2)构造函数f(x)=ln(1+x)-x(x≥0),证得f(x)<f(0)=0,进而利用放缩法、再利用错位相减法,即可得到结论.
解答:解:(1)因为an+12=2an2+anan+1,即(an+1+an)(2an-an+1)=0,
又an>0,所以有2an-an+1=0,所以2an=an+1,所以数列{an}是公比为2的等比数列.
由a2+a4=2a3+4得2a1+8a1=8a1+4,解得a1=2,故an=2n(n∈N*)
(2)构造函数f(x)=ln(1+x)-x(x≥0),则
当x>0时,f′(x)<0,即f(x)在(0,+∞)上单调递减
∴f(x)<f(0)=0,∴ln(1+x)-x<0
∴lncn=ln(
)=
∴lnTn<
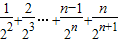
记An=
①,则
An=
②
∴①-②可得
An=
=1-
<1
∴An<2
∴lnTn<2
∴Tn<e2<9.
点评:本题主要考查等比数列的判定,性质和数列的求和,考查构造函数,考查学生分析解决问题的能力,综合性强.
(2)构造函数f(x)=ln(1+x)-x(x≥0),证得f(x)<f(0)=0,进而利用放缩法、再利用错位相减法,即可得到结论.
解答:解:(1)因为an+12=2an2+anan+1,即(an+1+an)(2an-an+1)=0,
又an>0,所以有2an-an+1=0,所以2an=an+1,所以数列{an}是公比为2的等比数列.
由a2+a4=2a3+4得2a1+8a1=8a1+4,解得a1=2,故an=2n(n∈N*)
(2)构造函数f(x)=ln(1+x)-x(x≥0),则
当x>0时,f′(x)<0,即f(x)在(0,+∞)上单调递减
∴f(x)<f(0)=0,∴ln(1+x)-x<0
∴lncn=ln(
∴lnTn<
记An=
∴①-②可得
∴An<2
∴lnTn<2
∴Tn<e2<9.
点评:本题主要考查等比数列的判定,性质和数列的求和,考查构造函数,考查学生分析解决问题的能力,综合性强.
练习册系列答案
相关题目