题目内容
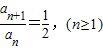
已知各项均为正数的数列{an}的前n项和为Sn,数列(1)证明数列{an}是等比数列,并写出通项公式;
(2)若
(3)若
【答案】分析:(1)因为
,且an>0,所以推出a1=1,
;由
,知
,由此能求出数列{an}的通项公式.
(2)由(1)得
,
,由此能求出λ的最小值.
(3)若
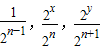
成等差数列,其中x,y为正整数,则
成等差数列,整理,得2x=1+2y-2,由此能求出正整数x,y的值.
解答:解:(1)因为
,
其中Sn是数列{an}的前n项和,Tn是数列
的前n项和,且an>0,
当n=1时,由
,
解得a1=1,…(2分)
当n=2时,由
,
解得
; …(4分)
由
,
知
,
两式相减得
,
即
,…(5分)
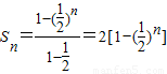
亦即2Sn+1-Sn=2,从而2Sn-Sn-1=2,(n≥2),
再次相减得
,又
,
所以
所以数列{an}是首项为1,公比为
的等比数列,…(7分)
其通项公式为
,n∈N*.…(8分)
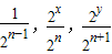
(2)由(1)可得
,
,…(10分)
若
对n∈N*恒成立,
只需
=3×
=3-
对n∈N*恒成立,
∵3-
<3对n∈N*恒成立,∴λ≥3.
(3)若
成等差数列,其中x,y为正整数,
则
成等差数列,
整理,得2x=1+2y-2,
当y>2时,等式右边为大于2的奇数,等式左边为偶数或1,
等式不能成立,
∴满足条件的正整数x,y的值为x=1,y=2.
点评:本题考查等比数列的证明和数列的通项公式的求法,考查最小值的求法,考查满足条件的实数值的求法.解题时要认真审题,仔细解答,注意等价转化思想的合理运用.
(2)由(1)得
(3)若
解答:解:(1)因为
其中Sn是数列{an}的前n项和,Tn是数列
当n=1时,由
解得a1=1,…(2分)
当n=2时,由
解得
由
知
两式相减得
即
亦即2Sn+1-Sn=2,从而2Sn-Sn-1=2,(n≥2),
再次相减得
所以
所以数列{an}是首项为1,公比为
其通项公式为
(2)由(1)可得
若
只需
∵3-
(3)若
则
整理,得2x=1+2y-2,
当y>2时,等式右边为大于2的奇数,等式左边为偶数或1,
等式不能成立,
∴满足条件的正整数x,y的值为x=1,y=2.
点评:本题考查等比数列的证明和数列的通项公式的求法,考查最小值的求法,考查满足条件的实数值的求法.解题时要认真审题,仔细解答,注意等价转化思想的合理运用.
练习册系列答案
相关题目