题目内容
(1)求cos∠AOC的值.
(2)求
【答案】分析:(I)连接OB在△AOB中利用余弦定理求得cos∠AOB的值,利用AB=BC推断出∠AOC=2∠AOB,然后利用二倍角公式求得答案.
(II)根据题意可知ADC=∠AOB,∠ADB=∠BDC,进而求得
,在Rt△ADB中利用cos∠ADB求得
,则
的值可求.
解答:
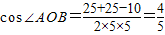
(I)解:如图,连接OB,由余弦定理得
,
由AB=BC知∠AOC=2∠AOB,
则
.
(Ⅱ)由题意可知:∠ADC=∠AOB,∠ADB=∠BDC,则
,
又在Rt△ADB中,可得
,
故
.
点评:本题主要考查了余弦定理的应用.考查了考生对解三角形问题基本方法和基本公式的熟练掌握.
(II)根据题意可知ADC=∠AOB,∠ADB=∠BDC,进而求得
解答:
由AB=BC知∠AOC=2∠AOB,
则
(Ⅱ)由题意可知:∠ADC=∠AOB,∠ADB=∠BDC,则
又在Rt△ADB中,可得
故
点评:本题主要考查了余弦定理的应用.考查了考生对解三角形问题基本方法和基本公式的熟练掌握.
练习册系列答案
相关题目