题目内容
已知数列{an}满足∵(1)求数列{an}的通项公式;
(2)分析数列{an}有没有最大项,若有,求出这个最大项;若没有,说明理由.
【答案】分析:(1)再写一式,两式相减,即可求数列{an}的通项公式;
(2)确定数列{an}为递增数列,即可得到数列没有最大项.
解答:解:(1)∵
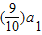
+
+…+
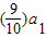
=
(n2+3n)①
∴n≥2时,
+
+…+
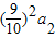
=
[(n-1)2+3(n-1)]②
①-②可得
=
(2n+2)
∴n≥2时,
∵n=1时,
=
×4,∴a1=4,满足上式
∴
;
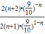
(2)∵
=
=
>1,an>0
∴an+1>an
∴数列{an}为递增数列,因此数列没有最大项.
点评:本题考查数列递推式,考查数列的通项,考查数列的单调性,考查学生的计算能力,属于中档题.
(2)确定数列{an}为递增数列,即可得到数列没有最大项.
解答:解:(1)∵
∴n≥2时,
①-②可得
∴n≥2时,
∵n=1时,
∴
(2)∵
∴an+1>an
∴数列{an}为递增数列,因此数列没有最大项.
点评:本题考查数列递推式,考查数列的通项,考查数列的单调性,考查学生的计算能力,属于中档题.
练习册系列答案
相关题目