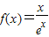
题目内容
已知(Ⅰ)求f(x)的单调区间;
(Ⅱ)设an=f(n),求数列{an}的前n项和Sn,并证明
【答案】分析:(Ⅰ)求导函数,利用导数的正负,即可求f(x)的单调区间;
(Ⅱ)求出数列的通项.利用等比数列的求和公式求和,即可得到结论.
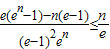
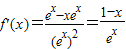
解答:解:(Ⅰ)∵
,∴
,
当x<1时,f′(x)>0,f(x)是单调递增,当x>1时,f′(x)>0,f(x)是单调递减.
所以f(x)的递增区间是(-∞,1],递减区间是[1,+∞). …5分
(Ⅱ)∵an=f(n),Sn=a1+a2+…+an,∴
且
,
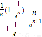
∴
∴
=
∴
.
由(Ⅰ)知
,∴
,∴
,∴
,
∴
.…13分.
点评:本题考查导数知识的运用,考查导数的几何意义,考查不等式的证明,考查学生分析解决问题的能力,属于中档题.
(Ⅱ)求出数列的通项.利用等比数列的求和公式求和,即可得到结论.
解答:解:(Ⅰ)∵
当x<1时,f′(x)>0,f(x)是单调递增,当x>1时,f′(x)>0,f(x)是单调递减.
所以f(x)的递增区间是(-∞,1],递减区间是[1,+∞). …5分
(Ⅱ)∵an=f(n),Sn=a1+a2+…+an,∴
∴
∴
∴
由(Ⅰ)知
∴
点评:本题考查导数知识的运用,考查导数的几何意义,考查不等式的证明,考查学生分析解决问题的能力,属于中档题.
练习册系列答案
相关题目