题目内容
已知函数f(x)=lnx,x1,x2∈(0,A.(x1-x2)[f(x1)-f(x2)]<0
B.f(
C.x1f(x2)>x2f(x1)
D.x2f(x2)>x1f(x1)
【答案】分析:根据函数的单调性可得A不正确;根据函数的图象是下凹的,可得B不正确; 利用导数判断函数
在(0,+∞)上是增函数,故有
>
,
化简可得 x1f(x2)>x2f(x1),故C正确、且D不正确.
解答:解:由于已知函数f(x)=lnx在定义域(0,+∞)上是增函数,x1,x2∈(0,
),且x1<x2 ,可得[f(x1)-f(x2)]<0,
故(x1-x2)[f(x1)-f(x2)]>0,故A不正确.
由于已知函数f(x)=lnx的增长速度较慢,图象是下凹型的,故有f(
)>f(
),故B不正确.
∵已知函数f(x)=lnx,x1,x2∈(0,
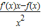
),且x1<x2 ,则
′=
=
>0,
∴函数
在(0,+∞)上是增函数,故有
>
,化简可得 x1f(x2)>x2f(x1),故C正确、且D不正确.
故选C.
点评:本题主要考查导数的运算法则的应用,利用导数研究函数的单调性,函数的单调性的应用,属于中档题.
化简可得 x1f(x2)>x2f(x1),故C正确、且D不正确.
解答:解:由于已知函数f(x)=lnx在定义域(0,+∞)上是增函数,x1,x2∈(0,
故(x1-x2)[f(x1)-f(x2)]>0,故A不正确.
由于已知函数f(x)=lnx的增长速度较慢,图象是下凹型的,故有f(
∵已知函数f(x)=lnx,x1,x2∈(0,
∴函数
故选C.
点评:本题主要考查导数的运算法则的应用,利用导数研究函数的单调性,函数的单调性的应用,属于中档题.
练习册系列答案
相关题目