题目内容
已知直线y=-2上有一个动点Q,过点Q作直线l1垂直于x轴,动点P在l1上,且满足OP⊥OQ(O为坐标原点),记点P的轨迹为C.(1)求曲线C的方程;
(2)若直线l2是曲线C的一条切线,当点(0,2)到直线l2的距离最短时,求直线l2的方程.
【答案】分析:(1)先设P点坐标,进而得出Q点坐标,再根据OP⊥OQ⇒kOP•kOQ=-1,求出曲线方程;
(2)设出直线直线l2的方程,然后与曲线方程联立,由于直线l2与曲线C相切,得出二次函数有两个相等实根,求出
,再由点到直线距离公式表示出d,根据a+b≥2
,求得b的值,即可得到直线方程.
解答:解:(1)设点P的坐标为(x,y),则点Q的坐标为(x,-2).
∵OP⊥OQ,∴kOP•kOQ=-1.
当x≠0时,得
,化简得x2=2y.(2分)
当x=0时,P、O、Q三点共线,不符合题意,故x≠0.
∴曲线C的方程为x2=2y(x≠0).(4分)
(2)∵直线l2与曲线C相切,∴直线l2的斜率存在.
设直线l2的方程为y=kx+b,(5分)
由
得x2-2kx-2b=0.
∵直线l2与曲线C相切,
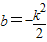
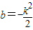
∴△=4k2+8b=0,即
.(6分)
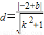
点(0,2)到直线l2的距离
=
(7分)=
(8分)
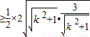
(9分)=
.(10分)
当且仅当
,即
时,等号成立.此时b=-1.(12分)
∴直线l2的方程为
或
.(14分)
点评:本题考查了抛物线和直线的方程以及二次函数的根的个数,对于(2)问关键是利用了a+b≥2
,求出b的值.属于中档题.
(2)设出直线直线l2的方程,然后与曲线方程联立,由于直线l2与曲线C相切,得出二次函数有两个相等实根,求出
解答:解:(1)设点P的坐标为(x,y),则点Q的坐标为(x,-2).
∵OP⊥OQ,∴kOP•kOQ=-1.
当x≠0时,得
当x=0时,P、O、Q三点共线,不符合题意,故x≠0.
∴曲线C的方程为x2=2y(x≠0).(4分)
(2)∵直线l2与曲线C相切,∴直线l2的斜率存在.
设直线l2的方程为y=kx+b,(5分)
由
∵直线l2与曲线C相切,
∴△=4k2+8b=0,即
点(0,2)到直线l2的距离
当且仅当
∴直线l2的方程为
点评:本题考查了抛物线和直线的方程以及二次函数的根的个数,对于(2)问关键是利用了a+b≥2
练习册系列答案
相关题目