题目内容

设定义域为R的函数满足下列条件:对任意,且对任意,当时,有.给出下列四个结论:

                       ②

         ④

其中所有的正确结论的序号是____________.

 

【答案】

①②④

【解析】

试题分析:∵对任意x∈R,f(x)+f(-x)=0,∴函数f(x)是奇函数,∵对任意x1,x2∈[1,a],当x2>x1时,有f(x2)>f(x1)>0,∴函数f(x)在区间[1,a]上是单调增函数.∵a>1,故①f(a)>f(0)一定成立.,故②一定成立.

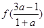
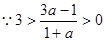
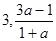
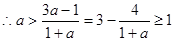
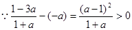
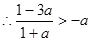
,,,由奇函数的对称性知:,④对.,但是否在[1,a]上不能确定,故意的大小不能确定,③不对,故正确的为①②④.

考点:1.函数的单调性;2.函数的奇偶性

 

练习册系列答案
相关题目

违法和不良信息举报电话:027-86699610 举报邮箱:58377363@163.com

精英家教网