题目内容
已知数列{
}满足a1=0,a2=2,且对任意m、n∈N*都有a2m﹣1+a2n﹣1=2am+n﹣1+2(m﹣n)2
(1)求a3,a5;
(2)设bn=a2n+1﹣a2n﹣1(n∈N*),证明:{bn}是等差数列;
(3)设cn=(
+1﹣
)qn﹣1(q≠0,n∈N*),求数列{cn}的前n项和Sn.
(1)求a3,a5;
(2)设bn=a2n+1﹣a2n﹣1(n∈N*),证明:{bn}是等差数列;
(3)设cn=(
解:(1)由题意,令m=2,n=1,可得a3=2a2﹣a1+2=6
再令m=3,n=1,可得a5=2a3﹣a1+8=20
(2)当n∈N*时,由已知(以n+2代替m)可得a2n+3+a2n﹣1=2a2n+1+8
于是[a2(n+1)+1﹣a2(n+1)﹣1]﹣(a2n+1﹣a2n﹣1)=8即bn+1﹣bn=8
所以{bn}是公差为8的等差数列
(3)由(1)(2)解答可知{bn}是首项为b1=a3﹣a1=6,公差为8的等差数列
则bn=8n﹣2,即a2n+1﹣a2n﹣1=8n﹣2
另由已知(令m=1)可得
=
﹣(n﹣1)2.
那么
+1﹣
=
﹣2n+1=
﹣2n+1=2n
于是cn=2nqn﹣1.
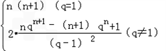
当q=1时,Sn=2+4+6++2n=n(n+1)
当q≠1时,Sn=2q0+4q1+6q2++2nqn﹣1.两边同乘以q,
可得qSn=2q1+4q2+6q3++2nqn.
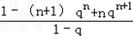
上述两式相减得(1﹣q)Sn=2(1+q+q2++qn﹣1)﹣2nqn=2
﹣2nqn
=2
所以Sn=2
综上所述,Sn=
再令m=3,n=1,可得a5=2a3﹣a1+8=20
(2)当n∈N*时,由已知(以n+2代替m)可得a2n+3+a2n﹣1=2a2n+1+8
于是[a2(n+1)+1﹣a2(n+1)﹣1]﹣(a2n+1﹣a2n﹣1)=8即bn+1﹣bn=8
所以{bn}是公差为8的等差数列
(3)由(1)(2)解答可知{bn}是首项为b1=a3﹣a1=6,公差为8的等差数列
则bn=8n﹣2,即a2n+1﹣a2n﹣1=8n﹣2
另由已知(令m=1)可得
那么
于是cn=2nqn﹣1.
当q=1时,Sn=2+4+6++2n=n(n+1)
当q≠1时,Sn=2q0+4q1+6q2++2nqn﹣1.两边同乘以q,
可得qSn=2q1+4q2+6q3++2nqn.
上述两式相减得(1﹣q)Sn=2(1+q+q2++qn﹣1)﹣2nqn=2
=2
所以Sn=2
综上所述,Sn=
练习册系列答案
相关题目