题目内容
已知函数
【答案】分析:由分式函数的分母不等于0,运用指数式的运算性质可求元函数的定义域;函数的定义域关于原点对称,直接运用f(-x)与f(x)和-f(x)的关系判断函数的奇偶性.
解答:解:此函数是奇函数,证明如下:
要使原来函数有意义,必须满足2x-1≠0,即x≠0
∴函数的定义域为{x|x≠0};
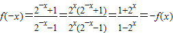
∵
∴f(x)为奇函数.
点评:本题考查了函数的定义域及其求法,考查了函数的奇偶性的判断,判断函数的奇偶性,首先要看定义域是否关于原点对称,此题为基础题.
解答:解:此函数是奇函数,证明如下:
要使原来函数有意义,必须满足2x-1≠0,即x≠0
∴函数的定义域为{x|x≠0};
∵
∴f(x)为奇函数.
点评:本题考查了函数的定义域及其求法,考查了函数的奇偶性的判断,判断函数的奇偶性,首先要看定义域是否关于原点对称,此题为基础题.
练习册系列答案
相关题目