题目内容
设Sn为等差数列{an}的前n项和,已知a3=-1,a2+a5=0,若Sn=7,则n=( )A.5
B.6
C.7
D.8
【答案】分析:由题意可得数列的公差,进而可得首项,可得前n项和,可得关于n的方程,解之即可.
解答:解:由等差数列的性质可得a3+a4=a2+a5=0,
又a3=-1,故a4=1,故公差d=a4-a3=2
故a1=a3-2d=-1-4=-5,
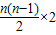
故Sn=-5n+
=7,即n2-6n-7=0,
解之可得n=7,或n=-1(舍去)
故选C
点评:本题考查等差数列的前n项和与通项公式,属基础题.
解答:解:由等差数列的性质可得a3+a4=a2+a5=0,
又a3=-1,故a4=1,故公差d=a4-a3=2
故a1=a3-2d=-1-4=-5,
故Sn=-5n+
解之可得n=7,或n=-1(舍去)
故选C
点评:本题考查等差数列的前n项和与通项公式,属基础题.
练习册系列答案
相关题目
设Sn为等差数列{an}的前n项和,若S8=30,S4=7,则a4的值等于( )
A、
| ||
B、
| ||
C、
| ||
D、
|