题目内容
已知函数
;
(Ⅰ)求f(x)的定义域;
(Ⅱ)判断f(x)的单调性并证明。
(Ⅲ)当x为何值时
(Ⅰ)求f(x)的定义域;
(Ⅱ)判断f(x)的单调性并证明。
(Ⅲ)当x为何值时
解:(Ⅰ)依题意可得
解得0<x<2
所以f(x)的定义域是{x|0<x<2}
(Ⅱ)函数f(x)在其定义域(0,2)上单调递减
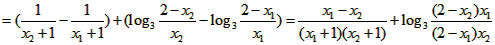
设
则
所以

因为
所以

所以
即
所以函数f(x)在其定义域(0,2)上单调递减
(Ⅲ)由(Ⅱ)知f(x)在其定义域(0,2)上单调递减且f(1)=
∴

所以f(x)的定义域是{x|0<x<2}
(Ⅱ)函数f(x)在其定义域(0,2)上单调递减
设
所以
因为
所以函数f(x)在其定义域(0,2)上单调递减
(Ⅲ)由(Ⅱ)知f(x)在其定义域(0,2)上单调递减且f(1)=
∴
练习册系列答案
相关题目