题目内容
已知椭圆C的中心在原点,焦点在x轴上,离心率是(1)求椭圆C的方程;
(2)过点F的直线交椭圆C于A、B两点,A、B在右准线l上的射影分别为M、N.求证:AN与BM的交点在x轴上.
【答案】分析:(1)设椭圆C的方程为
(a>b>0),由题意得
,可得a,c,再由a2=b2+c2可得b;
(2):①当AB垂直于x轴时,易证明;②当AB不垂直于x轴时,设直线AB的方程为y=k(x-1),代入椭圆
,得(4k2+3)x2-8k2x+(4k2-12)=0,设A(x1,y1),B(x2,y2),写出直线AN、BM的方程联立,及韦达定理可求得AN与BM的交点,由其坐标可得结论;
解答:(1)解:设椭圆C的方程为
(a>b>0),
则由
,得a=2,c=1,b2=3,
所以椭圆C的方程为
;
(2)证明:①当AB垂直于x轴时,AB的坐标分别为
,
,AN与BM的交点为
在x轴上.
②当AB不垂直于x轴时,设直线AB的方程为y=k(x-1),
代入椭圆
,得(4k2+3)x2-8k2x+(4k2-12)=0,
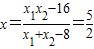
设A(x1,y1),B(x2,y2),则M(4,y1),N(4,y2),且
,
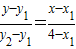
∵直线AN方程是
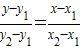
,直线BM方程是
.
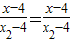
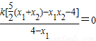
联立,得
,消去y,得:
.
即(x1+x2-8)x=x1x2-16,即
,
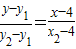
把
代入直线AN的方程
,
得
=
,
∴AN与BM交于点
是x轴上一定点.
点评:本题考查直线与椭圆的位置关系、椭圆的方程及性质,考查学生的运算求解能力,难度较大.
(2):①当AB垂直于x轴时,易证明;②当AB不垂直于x轴时,设直线AB的方程为y=k(x-1),代入椭圆
解答:(1)解:设椭圆C的方程为
则由
所以椭圆C的方程为
(2)证明:①当AB垂直于x轴时,AB的坐标分别为
②当AB不垂直于x轴时,设直线AB的方程为y=k(x-1),
代入椭圆
设A(x1,y1),B(x2,y2),则M(4,y1),N(4,y2),且
∵直线AN方程是
联立,得
即(x1+x2-8)x=x1x2-16,即
把
得
∴AN与BM交于点
点评:本题考查直线与椭圆的位置关系、椭圆的方程及性质,考查学生的运算求解能力,难度较大.
练习册系列答案
相关题目