题目内容
已知椭圆(Ⅰ)求椭圆的方程;
(Ⅱ)过点S(0,
【答案】分析:(Ⅰ)由
消去y,得:x2+(2b-4)x+b2=0,因直线y=x+b与抛物线y2=4x相切,b=1.圆
的两焦点与短轴的一个端点的连线构成等腰直角三角形,由此能求出椭圆方程.
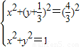
(Ⅱ)当L与x轴平行时,以AB为直径的圆的方程:
,当L与x轴垂直时,以AB为直径的圆的方程:x2+y2=1.由
,解得两圆公共点(0,1).因此所求的点T如果存在,只能是(0,1).由此能够导出以AB为直径的圆恒过点T(0,1).
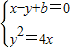
解答:解:(Ⅰ)由
消去y,得:x2+(2b-4)x+b2=0,
因直线y=x+b与抛物线y2=4x相切,∴△=(2b-4)2-4b2,∴b=1.…(2分)
∵圆
的两焦点与短轴的一个端点的连线构成等腰直角三角形,
∴
,…(4分)
故所求椭圆方程为
.…(5分)
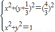
(Ⅱ)当L与x轴平行时,以AB为直径的圆的方程:
,
当L与x轴垂直时,以AB为直径的圆的方程:x2+y2=1
由
解得
,
即两圆公共点(0,1)因此,所求的点T如果存在,只能是(0,1)…(7分)
(ⅰ)当直线L斜率不存在时,以AB为直径的圆过点T(0,1)
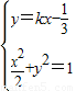
(ⅱ)若直线L斜率存在时,可设直线L:y=kx-
.
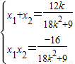
由
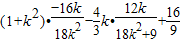
,消去y得:(18k2+9)x2-12kx-16=0,
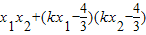
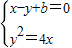
记点A(x1,y1)、B(x2,y2),则
,…(9分)
∵
,
∴
=
=
=
=0.
∴TA⊥TB,…(11分)
综合(ⅰ)(ⅱ),以AB为直径的圆恒过点T(0,1). …(12分)
点评:本题主要考查直线与圆锥曲线的综合应用能力,具体涉及到轨迹方程的求法及直线与椭圆的相关知识,解题时要注意合理地进行等价转化.
(Ⅱ)当L与x轴平行时,以AB为直径的圆的方程:
解答:解:(Ⅰ)由
因直线y=x+b与抛物线y2=4x相切,∴△=(2b-4)2-4b2,∴b=1.…(2分)
∵圆
∴
故所求椭圆方程为
(Ⅱ)当L与x轴平行时,以AB为直径的圆的方程:
当L与x轴垂直时,以AB为直径的圆的方程:x2+y2=1
由
解得
即两圆公共点(0,1)因此,所求的点T如果存在,只能是(0,1)…(7分)
(ⅰ)当直线L斜率不存在时,以AB为直径的圆过点T(0,1)
(ⅱ)若直线L斜率存在时,可设直线L:y=kx-
由
记点A(x1,y1)、B(x2,y2),则
∵
∴
=
=
=
=0.
∴TA⊥TB,…(11分)
综合(ⅰ)(ⅱ),以AB为直径的圆恒过点T(0,1). …(12分)
点评:本题主要考查直线与圆锥曲线的综合应用能力,具体涉及到轨迹方程的求法及直线与椭圆的相关知识,解题时要注意合理地进行等价转化.
练习册系列答案
相关题目