题目内容
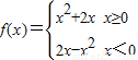
已知函数
【答案】分析:先得到函数
在定义域上是增函数,再由函数单调性定义求解.
解答:解:易知函数
在定义域上是增函数
∴f(2-a2)>f(a),
可转化为:2-a2>a
解得:-2<a<1
∴实数a的取值范围是(-2,1)
故答案为:(-2,1)
点评:本题主要考查函数的单调性定义在解不等式中的应用,一般来讲,抽象函数不等式,多数用单调性定义或数形结合法求解.
解答:解:易知函数
∴f(2-a2)>f(a),
可转化为:2-a2>a
解得:-2<a<1
∴实数a的取值范围是(-2,1)
故答案为:(-2,1)
点评:本题主要考查函数的单调性定义在解不等式中的应用,一般来讲,抽象函数不等式,多数用单调性定义或数形结合法求解.
练习册系列答案
相关题目