题目内容
已知a,b满足a+2b=1,则直线ax+3y+b=0必过定点( )
A. (-
,
)
B. (
,
)
C. (
,
-
)
D. (
,
-
)
【答案】
C
【解析】
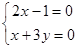
试题分析:由
得
,代入直线方程得
对任意
恒成立,故有
,解得
,即直线必过定点
.
考点:直线方程
练习册系列答案
相关题目
设平面向量
=(x1,y1),
=(x2,y2),定义运算⊙:
⊙
=x1y2-y1x2.已知平面向量
,
,
,则下列说法错误的是( )
| a |
| b |
| a |
| b |
| a |
| b |
| c |
A、(
| ||||||||||||||
B、存在非零向量a,b同时满足
| ||||||||||||||
C、(
| ||||||||||||||
D、|
|