题目内容
抛物线y2=2px(p>0)的焦点为F,A、B在抛物线上,且∠AFB=
【答案】分析:设|AF|=a,|BF|=b,由抛物线定义,2|MN|=a+b.再由勾股定理可得|AB|2=a2+b2,进而根据基本不等式,求得|AB|的范围,进而可得答案.
解答:
解:设|AF|=a,|BF|=b,由抛物线定义,
得AF|=|AQ|,|BF|=|BP|
在梯形ABPQ中,∴2|MN|=|AQ|+|BP|=a+b.
由勾股定理得,|AB|2=a2+b2配方得,|AB|2=(a+b)2-2ab,
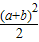
又ab≤(
)2,
∴(a+b)2-2ab≥(a+b)2-
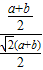
得到|AB|≥
(a+b).
所以
≤
=
,即
的最大值为
.
故答案为:
.
点评:本题主要考查抛物线的应用和解三角形的应用,考查了计算能力、分析问题和解决问题的能力.
解答:
得AF|=|AQ|,|BF|=|BP|
在梯形ABPQ中,∴2|MN|=|AQ|+|BP|=a+b.
由勾股定理得,|AB|2=a2+b2配方得,|AB|2=(a+b)2-2ab,
又ab≤(
∴(a+b)2-2ab≥(a+b)2-
得到|AB|≥
所以
故答案为:
点评:本题主要考查抛物线的应用和解三角形的应用,考查了计算能力、分析问题和解决问题的能力.
练习册系列答案
相关题目
A、y2=
| ||
| B、y2=9x | ||
C、y2=
| ||
| D、y2=3x |