题目内容
等比数列{an}的前n项和为sn,若s3+s6=2s9,则数列的公比为 .
【答案】分析:先假设q=1,分别利用首项表示出前3、6、及9项的和,得到已知的等式不成立,矛盾,所以得到q不等于1,然后利用等比数列的前n项和的公式化简S3+S6=2S9得到关于q的方程,根据q不等于0和1,求出方程的解,即可得到q的值.
解答:解:若q=1,则有S3=3a1,S6=6a1,S9=9a1.
但a1≠0,即得S3+S6≠2S9,与题设矛盾,q≠1.
又依题意S3+S6=2S9
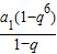
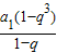
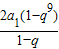
得
+
=
,
整理得q3(2q6-q3-1)=0.
由q≠0得方程2q6-q3-1=0.
(2q3+1)(q3-1)=0,
∵q≠1,q3-1≠0,
∴2q3+1=0
∴q=-
.
故答案为:-
.
点评:本小题主要考查等比数列的基础知识,逻辑推理能力和运算能力,是一道综合题.
解答:解:若q=1,则有S3=3a1,S6=6a1,S9=9a1.
但a1≠0,即得S3+S6≠2S9,与题设矛盾,q≠1.
又依题意S3+S6=2S9
得
整理得q3(2q6-q3-1)=0.
由q≠0得方程2q6-q3-1=0.
(2q3+1)(q3-1)=0,
∵q≠1,q3-1≠0,
∴2q3+1=0
∴q=-
故答案为:-
点评:本小题主要考查等比数列的基础知识,逻辑推理能力和运算能力,是一道综合题.
练习册系列答案
相关题目