题目内容
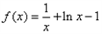
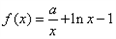
已知a ∈R,函数f(x)=
+lnx-1,g(x)=(lnx-1)ex+x(其中e为自然对数的底数),
(1)判断函数f(x)在(0,e]上的单调性;
(2)是否存在实数x0∈(0,+∞),使曲线y=g(x)在点x=x0处的切线与y轴垂直? 若存在,求出x0的值;若不存在,请说明理由;
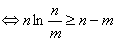
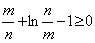
(3)若实数m,n满足m>0,n>0,求证:
。
(1)判断函数f(x)在(0,e]上的单调性;
(2)是否存在实数x0∈(0,+∞),使曲线y=g(x)在点x=x0处的切线与y轴垂直? 若存在,求出x0的值;若不存在,请说明理由;
(3)若实数m,n满足m>0,n>0,求证:
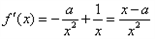
解:(1 )∵
,
,
∴
,
①若
,则
,
在
上单调递增;
②若
,当
时,
,函数
在区间
上单调递减;
当
时,
,函数
在区间
上单调递增;
③若
,则
,函数
在区间
上单调递减。
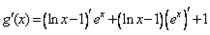
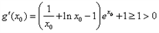
(2)解:∵
,
,

,
由(1)易知,当
时,
在
上的最小值:
,
即
时,
,
又
,∴
,
曲线
在点
处的切线与
轴垂直等价于方程
有实数解,
而
,即方程
无实数解,
故不存在。
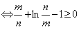
(3)证明:



,
由(2)知
,
令
得
。
∴
①若
②若
当
③若
(2)解:∵
由(1)易知,当
即
又
曲线
而
故不存在。
(3)证明:
由(2)知
令
练习册系列答案
相关题目