题目内容
已知函数f(x)=ln(1+x2)+ax(a<1).(Ⅰ) 讨论f(x)的单调性;
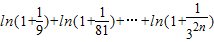
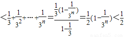
(Ⅱ) 证明:
【答案】分析:(I)根据已知中的函数解析式,求出函数的导函数的解析式,进而分0<a<1,a=0,-1<a<0,a≤-1四种情况,分别讨论导函数取正值,和导函数取负值的区间,即可判断出函数f(x)的单调性;
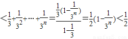
(Ⅱ)由( I)中结论可得a=-1时,f(x)在(-∞,+∞)上单调递减,即x∈(0,+∞)时,由f(x)<f(0)=0,即ln(1+x2)<x,对原不等式两边取自然对数,利用放缩法,可得原不等式左边满足
,进而可得原不等式成立.
解答:解:( I)∵
①若a=0时,
∵
∴f(x)在(0,+∞)单调递增,在(-∞,0)单调递减;
②若0<a<1时,
f′(x)>0⇒ax2+2x+a>0
.
∴f(x)在
单调递减,在
和
上单调递增.
③若
时,
f'(x)≤0对x∈R恒成立,
∴f(x)在R上单调递减;
④若-1<a<0时,
由f′(x)>0⇒ax2+2x+a>0
再令f′(x)<0,可得
或
,
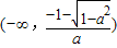
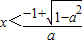
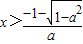
∴f(x)在
单调递增,在
和
上单调递减
综上所述,
若a≤-1时,f(x)在(-∞,+∞)上单调递减.;
若-1<a<0时,f(x)在
单调递增,在
上单调递减,
上单调递减
若a=0时,f(x)在(0,+∞)单调递增,在(-∞,0)单调递减
若0<a<1时,f(x)在
单调递减,在
和
上单调递增.
( II)由( I)知,当a=-1时,f(x)在(-∞,+∞)上单调递减,
当x∈(0,+∞)时,由f(x)<f(0)=0
∴ln(1+x2)<x,
∴
=
;
∴
.命题得证.
点评:本题考查的知识点是利用导数研究函数的单调性,函数单调性的性质,放缩法证明不等式,(I)中分类较多,难度较大,而(II)的证明既要利用函数的单调性,又要使用放缩法,难度也比较大.
(Ⅱ)由( I)中结论可得a=-1时,f(x)在(-∞,+∞)上单调递减,即x∈(0,+∞)时,由f(x)<f(0)=0,即ln(1+x2)<x,对原不等式两边取自然对数,利用放缩法,可得原不等式左边满足
解答:解:( I)∵
①若a=0时,
∵
∴f(x)在(0,+∞)单调递增,在(-∞,0)单调递减;
②若0<a<1时,
f′(x)>0⇒ax2+2x+a>0
∴f(x)在
③若
f'(x)≤0对x∈R恒成立,
∴f(x)在R上单调递减;
④若-1<a<0时,
由f′(x)>0⇒ax2+2x+a>0
再令f′(x)<0,可得
∴f(x)在
综上所述,
若a≤-1时,f(x)在(-∞,+∞)上单调递减.;
若-1<a<0时,f(x)在
若a=0时,f(x)在(0,+∞)单调递增,在(-∞,0)单调递减
若0<a<1时,f(x)在
( II)由( I)知,当a=-1时,f(x)在(-∞,+∞)上单调递减,
当x∈(0,+∞)时,由f(x)<f(0)=0
∴ln(1+x2)<x,
∴
∴
点评:本题考查的知识点是利用导数研究函数的单调性,函数单调性的性质,放缩法证明不等式,(I)中分类较多,难度较大,而(II)的证明既要利用函数的单调性,又要使用放缩法,难度也比较大.
练习册系列答案
相关题目