题目内容
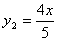
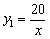
某车间生产某机器的两种配件A和B,生产配件A成本费y
与该车间的工人人数x成反比,而生产配件B成本费y
与该车间的工人人数x成正比,如果该车间的工人人数为10人时,这两项费用y
和y
分别为2万元和8万元,那么要使这两项费用之和最小,该车间的工人人数x应为多少?
解:由题意可得
,
设两项费用之和为y,则y=y1+y2=
当且仅当
答:当车间的工人人数为5 人时,两项费用之和最少。
设两项费用之和为y,则y=y1+y2=
当且仅当
答:当车间的工人人数为5 人时,两项费用之和最少。
练习册系列答案
相关题目