题目内容
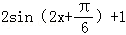
设函数
(1)求f(x)的最小正周期;
(2)在△ABC中,a,b,c分别是角A,B,C的对边,
,求b,c的长.
(1)求f(x)的最小正周期;
(2)在△ABC中,a,b,c分别是角A,B,C的对边,
解:(1)
=
=
,
∴周期T=π.
(2)f (A)=2,即
,
∵a2=b2+c2﹣2bccosA=b2+c2﹣bc,
∴b2+c2﹣bc=3,
又b2+c2+2bc=9,
∴bc=2,b+c=3,b>c,
解得
.
∴周期T=π.
(2)f (A)=2,即
∵a2=b2+c2﹣2bccosA=b2+c2﹣bc,
∴b2+c2﹣bc=3,
又b2+c2+2bc=9,
∴bc=2,b+c=3,b>c,
解得
练习册系列答案
相关题目