题目内容
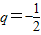
已知等比数列{an}的前n项和为Sn,若a3=
【答案】分析:设出等比数列的首项和公比,分公比q等于1和不等于1两种情况列式求首项,公比等于1时,三倍的a1即为前三项的和,公比不等于1时用等比数列前n项和公式写出前三项的和.
解答:解:设等比数列{an}的首项为a1,公比为q,
若q=1,由
,得:
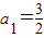
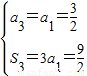
若q≠1,则
,
由①得:
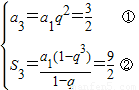
,代入②得:
,代入①得:a1=6
所以a1的值为
或6.
故答案为
或6.
点评:本题考查了等比数列的前n项和,考查了分类讨论思想,等比数列的前n项和公式只有在公比不等于1时成立,公比等于时,Sn=na1,此题为基础题.
解答:解:设等比数列{an}的首项为a1,公比为q,
若q=1,由
若q≠1,则
由①得:
所以a1的值为
故答案为
点评:本题考查了等比数列的前n项和,考查了分类讨论思想,等比数列的前n项和公式只有在公比不等于1时成立,公比等于时,Sn=na1,此题为基础题.
练习册系列答案
相关题目