题目内容
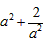
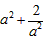
已知函数f(x)=a|x|+
(a>0,a≠1)。
(1)若a>1,且关于x的方程f(x)=m有两个不同的正数解,求实数m的取值范围;
(2)设函数g(x)=f(-x),x∈[-2,+∞),g(x)满足如下性质:若存在最大(小)值,则最大(小)值与a无关,试求a的取值范围。
(1)若a>1,且关于x的方程f(x)=m有两个不同的正数解,求实数m的取值范围;
(2)设函数g(x)=f(-x),x∈[-2,+∞),g(x)满足如下性质:若存在最大(小)值,则最大(小)值与a无关,试求a的取值范围。
解:(1)令
,
因为a>1,所以t>1,
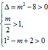
所以关于x的方程
有两个不同的正数解等价于关于t的方程
有相异的且均大于1的两根,即关于t的方程
有相异的且均大于1的两根,
所以
,
解得
,故实数m的取值范围为区间
;
(2)![]()
①当a>1时,
a)x≥0时,
,
,
所以
,
b)
时,
,
所以
,
ⅰ当
即
时,对
,
所以g(x)在
上递增,
所以
,
综合a) b)g(x)有最小值为
与a有关,不符合,
ⅱ当
即
时,由
得
,
且当
时,
,
当
时,
,
所以g(x)在
上递减,在
上递增,
所以
,
综合a) b)g(x)有最小值为
与a无关,符合要求,
②当
时,
a)x≥0时,
,
所以![]()
b)
时,
,
所以
,g(x)在
上递减,
所以
,
综合a) b)g(x)有最大值为
与a有关,不符合,
综上所述,实数a的取值范围是
。
练习册系列答案
相关题目