题目内容
设函数(1)判断函数f(x)的单调性,并用定义证明你的结论;
(2)是否存在实数a使函数f(x)为奇函数,写出理由.
【答案】分析:(1)设出两个有大小关系的自变量,作出两个函数值的差,将差变形判断出差的符号,得到两个函数值的大小,利用函数的单调性得证.
(2)利用函数为奇函数时,满足f(0)=0,列出方程求出a的值,将a的值代入检验函数的奇偶性.
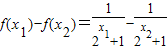
解答:解:(1)设x1<x2则
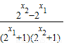
=
∵x1<x2
∴
又
∴f(x1)-f(x2)<0
∴f(x1)<f(x2)
∴f(x)单调递增
(2)若函数为奇函数,则有f(0)=0即
∴
将
代入f(x),满足f(-x)=-f(x)
点评:利用函数的单调性判断函数的单调性,一定注意将函数值的差变形为几个因式的积或数的平方和形式,再判断出差的符号.
(2)利用函数为奇函数时,满足f(0)=0,列出方程求出a的值,将a的值代入检验函数的奇偶性.
解答:解:(1)设x1<x2则
∵x1<x2
∴
又
∴f(x1)-f(x2)<0
∴f(x1)<f(x2)
∴f(x)单调递增
(2)若函数为奇函数,则有f(0)=0即
∴
将
点评:利用函数的单调性判断函数的单调性,一定注意将函数值的差变形为几个因式的积或数的平方和形式,再判断出差的符号.
练习册系列答案
相关题目