题目内容
已知函数f(x)=(1)用定义证明函数f(x)在(-∞,+∞)上为减函数;
(2)若x∈[1,2],求函数f(x)的值域;
(3)若g(x)=
【答案】分析:(1)根据函数单调性的定义,先在所给区间上任设两个数并确定好大小,然后通过作差法即可获得自变量对应函数值的大小关系,由定义即可获得问题的解答;
(2)结合(1)所证明的结论即可获得函数在[1,2]上的单调性,从而可以求的函数在[1,2]上的最值,进而问题即可获得解答;
(3)充分利用前两问答结论,即可获得g(x)=
在[1,2]上的最值,结合恒成立的条件即可将问题转化为实数a的不等关系,求解即可获得问题的解答.
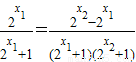
解答:解:(1)设x1<x2,
则f(x1)-f(x2)=
-
∵x1<x2,∴2x2-2x1>0
又2x1+1>0,2x2+1>0,
f(x1)-f(x2)>0即f(x1)>f(x2)
∴f(x)在(-∞,+∞)上为减函数.
(2)∵f(x)在(-∞,+∞)上为减函数,
∴f(x)值域为
.
(3)当x∈[{1,2}]时,g(x)∈
∵g(x)≥0在x∈[1,2]上恒成立,
∴
,∴
.
点评:本题考查的是函数单调性的问题.在解答的过程当中充分体现了函数单调性的定义、作差法、函数的最值以及恒成立问题.值得同学们体会和反思.
(2)结合(1)所证明的结论即可获得函数在[1,2]上的单调性,从而可以求的函数在[1,2]上的最值,进而问题即可获得解答;
(3)充分利用前两问答结论,即可获得g(x)=
解答:解:(1)设x1<x2,
则f(x1)-f(x2)=
∵x1<x2,∴2x2-2x1>0
又2x1+1>0,2x2+1>0,
f(x1)-f(x2)>0即f(x1)>f(x2)
∴f(x)在(-∞,+∞)上为减函数.
(2)∵f(x)在(-∞,+∞)上为减函数,
∴f(x)值域为
(3)当x∈[{1,2}]时,g(x)∈
∵g(x)≥0在x∈[1,2]上恒成立,
∴
点评:本题考查的是函数单调性的问题.在解答的过程当中充分体现了函数单调性的定义、作差法、函数的最值以及恒成立问题.值得同学们体会和反思.
练习册系列答案
相关题目
已知函数f(x)=x2-bx的图象在点A(1,f(1))处的切线l与直线3x-y+2=0平行,若数列{
}的前n项和为Sn,则S2010的值为( )
| 1 |
| f(n) |
A、
| ||
B、
| ||
C、
| ||
D、
|