题目内容
已知等差数列{an}满足:an+1>an(n∈N*),a1=1,该数列的前三项分别加上1,1,3后顺次成为等比数列{bn}的前三项.(Ⅰ)分别求数列{an},{bn}的通项公式;
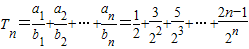
(Ⅱ)设
【答案】分析:(Ⅰ)利用数列的前三项分别加上1,1,3后顺次成为等比数列{bn}的前三项,建立方程,求出公差与公比,即可得到数列{an},{bn}的通项公式;
(Ⅱ)利用错位相减法求出数列的和,即可证得结论.
解答:(Ⅰ)解:设d、q分别为等差数列{an}、等比数列{bn}的公差与公比,且d>0
由a1=1,a2=1+d,a3=1+2d,分别加上1,1,3有b1=2,b2=2+d,b3=4+2d…(2分)
∵数列的前三项分别加上1,1,3后顺次成为等比数列{bn}的前三项
∴(2+d)2=2(4+2d),∴d2=4,
∵d>0,∴d=2,∴
…(4分)
∴
…(6分)
(II)证明:
,①
.②
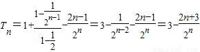
①-②,得
.…(8分)
∴
.…(10分)
∵
.∴
…(12分)
点评:本题考查等差数列与等比数列的综合,考查数列的通项与求和,考查不等式的证明,确定数列的通项是关键.
(Ⅱ)利用错位相减法求出数列的和,即可证得结论.
解答:(Ⅰ)解:设d、q分别为等差数列{an}、等比数列{bn}的公差与公比,且d>0
由a1=1,a2=1+d,a3=1+2d,分别加上1,1,3有b1=2,b2=2+d,b3=4+2d…(2分)
∵数列的前三项分别加上1,1,3后顺次成为等比数列{bn}的前三项
∴(2+d)2=2(4+2d),∴d2=4,
∵d>0,∴d=2,∴
∴
(II)证明:
①-②,得
∴
∵
点评:本题考查等差数列与等比数列的综合,考查数列的通项与求和,考查不等式的证明,确定数列的通项是关键.
练习册系列答案
相关题目