题目内容
设数列{an}的前n项和为Sn,且Sn=2an-3(n=1,2,…).(Ⅰ)证明:数列{an}是等比数列;
(Ⅱ)若数列{bn}满足bn=an+2n(n=1,2,…),求数列{bn}的前n项和为Tn.
【答案】分析:(I)根据an=Sn-Sn-1可得an=2an-1,然后求出首项,根据等比数列的定义可判定数列{an}是等比数列;
(II)先求出数列{an}的通项公式,从而得到数列{bn}的通项,然后根据通项的特征可知利用分组求和法进行求和即可.
解答:(Ⅰ)证明:因为Sn=2an-3(n=1,2,…).,则Sn-1=2an-1-3(n=2,3,…).…(1分)
所以当n≥2时,an=Sn-Sn-1=2an-2an-1,…(3分)
整理得an=2an-1. …(4分)
由Sn=2an-3,令n=1,得S1=2a1-3,解得a1=3.…(5分)
所以{an}是首项为3,公比为2的等比数列. …(6分)
(Ⅱ)解:因为
,…(7分)
由bn=an+2n(n=1,2,…),得
.
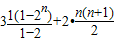
所以
…(9分)
=
…(11分)
=3•2n+n2+n-3
所以
. …(12分)
点评:本题主要考查了等比数列的判定,以及利用分组求和法求数列的和,同时考查了运算求解的能力,属于中档题.
(II)先求出数列{an}的通项公式,从而得到数列{bn}的通项,然后根据通项的特征可知利用分组求和法进行求和即可.
解答:(Ⅰ)证明:因为Sn=2an-3(n=1,2,…).,则Sn-1=2an-1-3(n=2,3,…).…(1分)
所以当n≥2时,an=Sn-Sn-1=2an-2an-1,…(3分)
整理得an=2an-1. …(4分)
由Sn=2an-3,令n=1,得S1=2a1-3,解得a1=3.…(5分)
所以{an}是首项为3,公比为2的等比数列. …(6分)
(Ⅱ)解:因为
由bn=an+2n(n=1,2,…),得
所以
=
=3•2n+n2+n-3
所以
点评:本题主要考查了等比数列的判定,以及利用分组求和法求数列的和,同时考查了运算求解的能力,属于中档题.
练习册系列答案
相关题目