题目内容
已知函数f(x)=a•2|x|+1(a≠0),定义函数①F(x)=|f(x)|;
②函数F(x)是奇函数;
③当a<0时,若mn<0,m+n>0,总有F(m)+F(n)<0成立,
其中所有正确命题的序号是( )
A.②
B.①③
C.②③
D.①②
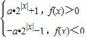
【答案】分析:由题意得,F(x)=
,再写出|f(x)|的表达式,它和F(x)并不是同一个函数,故①错误;利用函数奇偶性的定义可证得当x>0或x<0时,F(-x)=-F(x);故函数F(x)是奇函数,②正确;当a<0时,F(x)在(0,+∞)上是减函数,利用函数的单调性可得③正确.
解答:
解:由题意得,F(x)=
,
而|f(x)|=
,它和F(x)并不是同一个函数,故①错误;
∵函数f(x)=a•2|x|+1是偶函数,
当x>0时,-x<0,则F(-x)=-f(-x)=-f(x)=-F(x);
当x<0时,-x>0,则F(-x)=f(-x)=f(x)=-F(x);
故函数F(x)是奇函数,②正确;
当a<0时,F(x)在(0,+∞)上是减函数,
若mn<0,m+n>0,总有m>-n>0,
∴F(m)<F(-n),即f(m)<-F(n),
∴F(m)+F(n)<0成立,故③正确.
故选C.
点评:本小题主要考查函数单调性的应用、函数奇偶性的应用、命题的真假判断与应用等基础知识,考查运算求解能力,考查数形结合思想、化归与转化思想.属于基础题.
解答:
而|f(x)|=
∵函数f(x)=a•2|x|+1是偶函数,
当x>0时,-x<0,则F(-x)=-f(-x)=-f(x)=-F(x);
当x<0时,-x>0,则F(-x)=f(-x)=f(x)=-F(x);
故函数F(x)是奇函数,②正确;
当a<0时,F(x)在(0,+∞)上是减函数,
若mn<0,m+n>0,总有m>-n>0,
∴F(m)<F(-n),即f(m)<-F(n),
∴F(m)+F(n)<0成立,故③正确.
故选C.
点评:本小题主要考查函数单调性的应用、函数奇偶性的应用、命题的真假判断与应用等基础知识,考查运算求解能力,考查数形结合思想、化归与转化思想.属于基础题.
练习册系列答案
相关题目