题目内容
设数列{an}的前n项和为Sn,满足(1)求a1的值;
(2)若数列{bn}满足
(3)求满足
【答案】分析:(1)利用数列递推式,及a1,a2+5,a3成等差数列,即可求a1的值;
(2)再写一式,两式相减,即可证得结论;
(3)确定数列的通项,利用
,即可求最小正整数n.
解答:(1)解:∵
∴2a1=a2-3①,2(a1+a2)=a3-7②
∵a1,a2+5,a3成等差数列
∴2(a2+5)=a1+a3,③
∴由①②③可得a1=1;
(2)证明:∵
,
∴
(n≥2)
两式相减可得
∴
∵数列{bn}满足
,
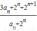
∴
=
=
=3(n≥2)
∵2a1=a2-3,
∴a2=5
∴b1=3,b2=9
∴
∴数列{bn}是一个以3为首项,公比为3的等比数列.…(9分)
(3)解:由(2)知
,即
∴数列{an}的通项公式是an=3n-2n.…(11分)
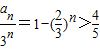
∴
,即
,
所以n≥4,所以n的最小正整数为4.…(15分)
点评:本题考查数列递推式,考查等比数列的证明,考查学生的计算能力,属于中档题.
(2)再写一式,两式相减,即可证得结论;
(3)确定数列的通项,利用
解答:(1)解:∵
∴2a1=a2-3①,2(a1+a2)=a3-7②
∵a1,a2+5,a3成等差数列
∴2(a2+5)=a1+a3,③
∴由①②③可得a1=1;
(2)证明:∵
∴
两式相减可得
∴
∵数列{bn}满足
∴
∵2a1=a2-3,
∴a2=5
∴b1=3,b2=9
∴
∴数列{bn}是一个以3为首项,公比为3的等比数列.…(9分)
(3)解:由(2)知
∴数列{an}的通项公式是an=3n-2n.…(11分)
∴
所以n≥4,所以n的最小正整数为4.…(15分)
点评:本题考查数列递推式,考查等比数列的证明,考查学生的计算能力,属于中档题.
练习册系列答案
相关题目