题目内容
已知函数f(x)=
[3ln(x+2)-ln(x-2)]。
(1)求x为何值时,f(x)在[3,7]上取得最大值;
(2)设F(x)=aln(x-1)-f(x),若F(x)是单调递增函数,求a的取值范围。
(1)求x为何值时,f(x)在[3,7]上取得最大值;
(2)设F(x)=aln(x-1)-f(x),若F(x)是单调递增函数,求a的取值范围。
解:(1)
∴当
时,
当
时,
∴f(x)在(2,4)上是减函数,在(4,+∞)是增函数
∴f(x)在[3,7]上的最大值应在端点处取得
∵
∴
即当x=7时,f(x)取得在[3,7]上的最大值;
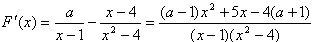
(2)∵F(x)是单调递增函数,
∴
恒成立
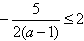
又∵
显然在F(x)的定义域
上,
恒成立
∴
在
恒成立
下面分情况讨论
在
上恒成立时,a的解的情况
当
时,显然不可能有
在
上恒成立
当
时,
在
上恒成立
当
时,又有两种情况:
①
②
且
由①得
,无解;
由②得
∵
∴
综上所述各种情况,当
时,
在
上恒成立
∴所求的a的取值范围为
。
∴当
当
∴f(x)在(2,4)上是减函数,在(4,+∞)是增函数
∴f(x)在[3,7]上的最大值应在端点处取得
∵
∴
即当x=7时,f(x)取得在[3,7]上的最大值;
(2)∵F(x)是单调递增函数,
∴
又∵
显然在F(x)的定义域
∴
下面分情况讨论
当
当
当
①
②
由①得
由②得
∵
∴
综上所述各种情况,当
∴所求的a的取值范围为
练习册系列答案
相关题目
已知函数f(x)=x2-bx的图象在点A(1,f(1))处的切线l与直线3x-y+2=0平行,若数列{
}的前n项和为Sn,则S2010的值为( )
| 1 |
| f(n) |
A、
| ||
B、
| ||
C、
| ||
D、
|