题目内容
已知抛物线y2=8x的准线过双曲线
【答案】分析:利用抛物线的标准方程y2=8x,可得
,故其准线方程为x=-2.由题意可得双曲线
的一个焦点为(-2,0),即可得到c=2.再利用双曲线的离心率的计算公式可得
=2,得到a=1,再利用b2=c2-a2可得b2.进而得到双曲线的方程.
解答:解:由抛物线y2=8x,可得
,故其准线方程为x=-2.
由题意可得双曲线
的一个焦点为(-2,0),∴c=2.
又双曲线的离心率为2,∴
=2,得到a=1,∴b2=c2-a2=3.
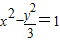
∴双曲线的方程为
.
故答案为
.
点评:熟练掌握双曲线抛物线的标准方程及其性质是解题的关键.
解答:解:由抛物线y2=8x,可得
由题意可得双曲线
又双曲线的离心率为2,∴
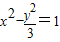
∴双曲线的方程为
故答案为
点评:熟练掌握双曲线抛物线的标准方程及其性质是解题的关键.
练习册系列答案
相关题目
已知抛物线y2=8x的准线与双曲线
-
=1(a>0,b>0)相交于A,B两点,双曲线的一条渐近线方程是y=2
x,点F是抛物线的焦点,且△FAB是直角三角形,则双曲线的标准方程是( )
| x2 |
| a2 |
| y2 |
| b2 |
| 2 |
A、
| ||||
B、x2-
| ||||
C、
| ||||
D、
|