题目内容
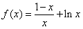
已知函数f(x)=
+lnx,
(Ⅰ)若函数f(x)在[1,+∞)上是增函数,求正实数a的取值范围;
(Ⅱ)若a=1,k∈R且k<
,设F(x)=f(x)+(k-1)lnx,求函数F(x)在[
,e]上的最大值和最小值。
(Ⅰ)若函数f(x)在[1,+∞)上是增函数,求正实数a的取值范围;
(Ⅱ)若a=1,k∈R且k<
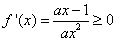
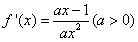
解:(Ⅰ)由题设可得
,
因为函数f(x)在[1,+∞)上是增函数,
所以,当x∈[1,+∞)时,不等式
即
恒成立,
因为,当x∈[1,+∞)时,
的最大值为1,
则实数a的取值范围是[1,+∞)。
(Ⅱ)a=1,
,
,
所以,
,
(1)若k=0,则
,在
上,恒有F′(x)<0,
所以F(x)在
上单调递减,
;
(2)k≠0时,
,
i)若k<0,在
上,恒有
,所以F(x)在
上单调递减,
,
;
ii)k>0时,因为
,所以
,
,
所以
,所以F(x)在
上单调递减,
,
;
综上所述:当k=0时,
;
当k≠0 且
时,
。
因为函数f(x)在[1,+∞)上是增函数,
所以,当x∈[1,+∞)时,不等式
因为,当x∈[1,+∞)时,
则实数a的取值范围是[1,+∞)。
(Ⅱ)a=1,
所以,
(1)若k=0,则
所以F(x)在
(2)k≠0时,
i)若k<0,在
ii)k>0时,因为
所以
综上所述:当k=0时,
当k≠0 且
练习册系列答案
相关题目
|
A、(
| ||||
B、(
| ||||
C、(
| ||||
D、[
|