题目内容
命题p:关于x的不等式x2+2ax+4>0,对一切x∈R恒成立,命题q:函数f(x)=(3-2a)x是增函数,若p∨q为真,p∧q为假,求实数a的取值范围.
【答案】分析:由p∨q为真,p∧q为假,知p为真,q为假,或p为假,q为真.由此利用二元一次不等式和指数函数的性质,能求出实数a的取值范围.
解答:解:∵p∨q为真,p∧q为假,∴p为真,q为假,或p为假,q为真.
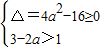
①当p为真,q为假时,
,解得1<a<2.
②当p为假,q为真时,
,解得a≤-2
综上,实数a的取值范围是{a|a≤-2或1<a<2}.
点评:本题考查命题的真假判断,是基础题.解题时要认真审题,仔细解答.
解答:解:∵p∨q为真,p∧q为假,∴p为真,q为假,或p为假,q为真.
①当p为真,q为假时,
②当p为假,q为真时,
综上,实数a的取值范围是{a|a≤-2或1<a<2}.
点评:本题考查命题的真假判断,是基础题.解题时要认真审题,仔细解答.
练习册系列答案
相关题目