题目内容
已知数列{an}的前n项和满足log2(Sn+1)=n+1,n∈N*,则an= .
【答案】分析:由已知log2(Sn+1)=n+1得到Sn=2n+1-1,然后由
求出an即可.
解答:解:∵log2(Sn+1)=n+1
∴Sn+1=2n+1得Sn=2n+1-1,
故当n=1时,a1=S1=3;
当n≥2时,an=Sn-Sn-1=2n,
而a1=3不符合an=2n
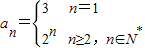
∴
故答案为:
点评:本题主要考查了数列通项an与前n项和sn的关系,解题时注意讨论n=1时是否满足通项,属于基础题.
解答:解:∵log2(Sn+1)=n+1
∴Sn+1=2n+1得Sn=2n+1-1,
故当n=1时,a1=S1=3;
当n≥2时,an=Sn-Sn-1=2n,
而a1=3不符合an=2n
∴
故答案为:
点评:本题主要考查了数列通项an与前n项和sn的关系,解题时注意讨论n=1时是否满足通项,属于基础题.
练习册系列答案
相关题目
已知数列{an}的前n项和Sn=an2+bn(a、b∈R),且S25=100,则a12+a14等于( )
| A、16 | B、8 | C、4 | D、不确定 |