题目内容
已知各项均为正数的数列{an}满足an+12=2an2+anan+1,且a2+a4=2a3+4,其中n∈N*,
(Ⅰ)求数列{an}的通项公式;
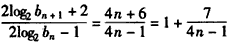
(Ⅱ)设数列{bn}的前n项和为Tn,令bn=an2,其中n∈N*,试比较
与
的大小,并加以证明。
(Ⅰ)求数列{an}的通项公式;
(Ⅱ)设数列{bn}的前n项和为Tn,令bn=an2,其中n∈N*,试比较
解:(Ⅰ)因为
,
即(an+1+an)(2an-an+1)=0,
又an>0,
所以有2an-an+1=0,
所以,2an=an+1,
所以数列{an}是公比为2的等比数列,
由a2+a4=2a3+4,得2a1+8a1=8a1+4,解得:a1=2,
故数列{an}的通项公式为
。
(Ⅱ)因
,所以,
,
即数列{bn}是首项为4,公比为4的等比数列,
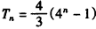
所以,
,
则
,
又
,
,
猜想:
,
①当n=1时,
,上面不等式显然成立;
②假设当n=k时,不等式
成立,
当n=k+1时,
;
综上①②对任意n∈N*均有
,
又
,
∴
,
所以对于任意n∈N*均有
。
即(an+1+an)(2an-an+1)=0,
又an>0,
所以有2an-an+1=0,
所以,2an=an+1,
所以数列{an}是公比为2的等比数列,
由a2+a4=2a3+4,得2a1+8a1=8a1+4,解得:a1=2,
故数列{an}的通项公式为
(Ⅱ)因
即数列{bn}是首项为4,公比为4的等比数列,
所以,
则
又
猜想:
①当n=1时,
②假设当n=k时,不等式
当n=k+1时,
综上①②对任意n∈N*均有
又
∴
所以对于任意n∈N*均有
练习册系列答案
相关题目