题目内容

已知函数.若函数的零点为,函数的零点为,则有(    )

A.

B.

C.

D.

 

【答案】

B.

【解析】

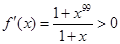
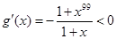
试题分析:由已知得,当时,,则在区间上单调递增,又有,所以函数的零点,当时,,则在区间上单调递减,又有

,所以函数的零点.

考点:利用导数判断函数单调性及零点问题.

 

练习册系列答案
相关题目

违法和不良信息举报电话:027-86699610 举报邮箱:58377363@163.com

精英家教网