题目内容
已知函数f(x)=(1)判断函数f(x)在(0,+∞)上的单调性;
(2)若f(x)在[
【答案】分析:(1)根据定义判断函数的单调性;
(2)利用(1)的结论确定[
,2]中何时取最值,利用值域中提供的最值建立等式关系并求解.
解答:解:(1)函数f(x)在(0,+∞)上单调递增.
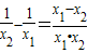
设x1>x2>0,
=
因为x1>x2>0,所以x1-x2>0,x1•x2>0,所以f(x1)-f(x2)>0,
所以f(x1)>f(x2),因此函数f(x)在(0,+∞)上是单调递增的.
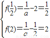
(2)由(1)知函数f(x)在[
,2]上单调递增,并且f(x)在[
,2]上的值域是[
,2],
所以
,所以
.
点评:本题考查函数单调性的判断与证明,对于(2),要利用好(1)所求得的结果.
(2)利用(1)的结论确定[
解答:解:(1)函数f(x)在(0,+∞)上单调递增.
设x1>x2>0,
因为x1>x2>0,所以x1-x2>0,x1•x2>0,所以f(x1)-f(x2)>0,
所以f(x1)>f(x2),因此函数f(x)在(0,+∞)上是单调递增的.
(2)由(1)知函数f(x)在[
所以
点评:本题考查函数单调性的判断与证明,对于(2),要利用好(1)所求得的结果.
练习册系列答案
相关题目
已知函数f(x)=x2-bx的图象在点A(1,f(1))处的切线l与直线3x-y+2=0平行,若数列{
}的前n项和为Sn,则S2010的值为( )
| 1 |
| f(n) |
A、
| ||
B、
| ||
C、
| ||
D、
|