题目内容
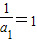
数列{an}中,a1=1,an+1=(1)求通项an;
(2)令bn=
【答案】分析:(1)由递推式变形可得数列{
}为等差数列,分别取n=1,2,…,n后累加即可得到数列{an}的通项公式;
(2)把数列{an}的通项公式代入bn=
,利用错位相加法求数列{bn}的前n项和Tn.
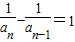
解答:解:(1)由an+1=
,得
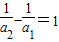
,
所以
.
所以


…
.
累加得
.
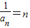
∴
;
(2)由bn=
,
∴
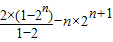
.
两式相减得:-Tn=2+(22+23+…+2n)-n×2n+1
=
=(1-n)×2n+1-2∴
点评:本题考查了等差关系的确定,考查了等差数列的通项公式,训练了利用错位相减法求数列的前n项和,是中档题.
(2)把数列{an}的通项公式代入bn=
解答:解:(1)由an+1=
所以
所以
…
累加得
∴
(2)由bn=
∴
两式相减得:-Tn=2+(22+23+…+2n)-n×2n+1
=
=(1-n)×2n+1-2∴
点评:本题考查了等差关系的确定,考查了等差数列的通项公式,训练了利用错位相减法求数列的前n项和,是中档题.
练习册系列答案
相关题目
数列{an}中,a1=
,an+an+1=
,n∈N*,则
(a1+a2+…+an)等于( )
| 1 |
| 5 |
| 6 |
| 5n+1 |
| lim |
| n→∞ |
A、
| ||
B、
| ||
C、
| ||
D、
|