题目内容

设集合A是实数集R的子集,如果点满足:对任意,都存在使得,则称为集合A的聚点.用Z表示整数集,则在下列集合中,以0为聚点的集合有(   )

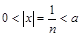
(1)              (2)不含0的实数集R

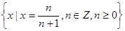
(3)                 (4)整数集Z

A.(1)(3)        B.(1)(4)      C.(2)(3)        D.(1)(2)(4)

 

【答案】

C.

【解析】

试题分析:(1)中,集合中的元素是极限为1的数列,除了第一项0之外,其余的都至少比0大,∴在的时候,不存在满足,∴0不是集合的聚点;(2)集合,对任意的,都存在(实际上任意比小的数都可以),使得,∴0是集合的聚点;(3)集合中的元素是极限为0的数列,对于任意的,存在,使,∴0是集合的聚点;(4)对于某个,比如,此时对任意的,都有或者,也就是说不可能,从而0不是整数集Z的聚点.由以上讨论知选C.

考点:1.新定义——集合的聚点的含义;2.集合元素的性质及运算.

 

练习册系列答案
相关题目

违法和不良信息举报电话:027-86699610 举报邮箱:58377363@163.com

精英家教网