题目内容
已知等差数列{an}的前n项和为Sn,且a3=10,S6=72,bn=(1)求通项an;
(2)求数列{bn}的前n项和Tn的最小值.
【答案】分析:(1)等差数列{an}中,由a3=10,S6=72,利用等差数列的通项公式和前n项和公式列出方程组,求出等差数列的首项和公差,由此能求出等差数列{an}的通项公式.
(2)由bn=
an-30,an=4n-2,知bn=
an-30=2n-31,由此能求出数列{bn}的前n项和Tn的最小值.
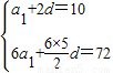
解答:解:(1)等差数列{an}中,
由a3=10,S6=72,
得
,
解得
,
∴an=4n-2.
(2)∵bn=
an-30,an=4n-2,
∴bn=
an-30=2n-31,
∵由bn=2n-31≥0,得n
,
∴{bn}前15项为负值,
∴数列{bn}的前n项和Tn的最小值=T15=-225.
点评:本题考查数列的通项公式的求法,考查数列的前n项和的最小值的求法.解题时要认真审题,仔细解答.
(2)由bn=
解答:解:(1)等差数列{an}中,
由a3=10,S6=72,
得
解得
∴an=4n-2.
(2)∵bn=
∴bn=
∵由bn=2n-31≥0,得n
∴{bn}前15项为负值,
∴数列{bn}的前n项和Tn的最小值=T15=-225.
点评:本题考查数列的通项公式的求法,考查数列的前n项和的最小值的求法.解题时要认真审题,仔细解答.
练习册系列答案
相关题目